

产品规格确认书
| Approved by 客户签名栏 | 客户签名 |
| Project Name&Item 产品名称及编号 | JWSH1610B |
| Working Voltage 工作电压 | 2.4V~3.6V |
备注说明(请选择) | LCD选择 ■单排 ■双排 □多排 |
Picture 产品样片 | ![]() |
| Version 版本 | V1.0 |
| Remark 备注 | 1、规格书仅供参考!以实际样品功能为准! |
| 2、以上资料如有更新我司将不另行通知,客户在应用本产品前请确认是否为Z新版本; | |
| 3、对于客户的不正确应用所带来的任何后果,我司不承担任何责任! | |
| 4、本公司可以根据客户要求对本产品进行改版或重新设计,详情请具体来电垂询! |
一、Features ( 产品特性 )
★ 五个按键:[MODE], [UP/SET],[DOWN], [RESET],[PAUSE];
★ 两种LCD 显示方式选择,单双排LCD。搭配绑定功能选择可组合多款产品;
★ BONDING选择轮径选择、公/英制选择、有无ODO,有无RPM选择、有无PULSE等;
★ 功能包括:时间,速度,距离,卡路里,ODO,RPM,心率检测等;
★ 适用:健身车/运动车/脚踏车/跑步机/踏步机/划船器等多种健身仪表。
二、I/O Mapping ( 脚位映射 )
名称 | 脚位 (I/O) | 说 明 (Function) | ||||
MODE键 | VDD—IOEF1 | 模式按键 | ||||
UP/SET键 | VDD—IOEF2 | 设置值增加 | ||||
DOWN键 | VDD—IOEF3 | 设置值减少 | ||||
RESET键 | VDD—IOEF4 | 设置值清0 | ||||
PAUSE键 | VDD—IOEF5 | 暂停功能 | ||||
Heart Pulse | IOCD1 | 心率信号输入口 | ||||
EN | IOCD0 | 心率使能输出口 | ||||
Signal In | IOEF0 | 运动心率输入口 | ||||
BUZZER | AUD | 蜂鸣器输出口(输出2KHz方波) | ||||
S0 | 模式选择 LCD | S0:IOCD2—IOEF1 S1:IOCD2—IOEF2 S1S0=XX | 00 | 速度单排 | ||
01 | 次数单排 | |||||
S1 | 10 | 速度双排 | ||||
11 | 次数双排 | |||||
S2 | 心跳 | S2:IOCD2—IOEF3 | 0 | 无 | ||
1 | 有 | |||||
S3 | 上电是否显示轮周 | S3:IOCD2—IOEF4 | 0 | 上电不显示轮周(速度)//7步1卡(次数) | ||
1 | 上电显示轮周(速度)//7步2卡(次数) | |||||
S4 | ODO | S4:IOCD2—IOEF5 | 0 | 无 | ||
1 | 有 | |||||
S5 | 复位是否显示轮周 | S5:IOCD2—IOCD0 | 0 | 按键复位后不显示轮周(速度)/1进1(次数) | ||
1 | 按键复位后显示轮周(速度)//2进1(次数) | |||||
S6 | RPM | S6:IOCD2—IOCD1 | 0 | 无 | ||
1 | 有 | |||||
S7 | 唤醒是否清零 | S7:IOCD3—IOCD0 | 0 | 唤醒不清0 | ||
1 | 唤醒清0 | |||||
S8 | KM/ML选择 | S8:IOCD3—IOCD1 | 0 | KM(速度)/计步无Bi声(次数) | ||
1 | ML(速度)/计步有Bi声(次数) | |||||
S9 S10 S11 S12 S13 | Bonding Option 选择轮径(轮周) | S9:IOCD3—IOEF1 S10:IOCD3—IOEF2 S11:IOCD3—IOEF3 S12:IOCD3—IOEF4 S13:IOCD3—IOEF5 S9S13S12S11S10 = XXXXX | 轮径(mm) | 轮周(公制) | 轮周(英制) | |
00000 | 1884 | 591 | 367 | |||
00001 | 1420.35 | 446 | 277 | |||
00010 | 63.66 | 19 | 12 | |||
00011 | 270.0 | 84 | 52 | |||
00100 | 993.5 | 312 | 193 | |||
00101 | 42 | 13 | 8 | |||
00110 | 406.4 | 127 | 79 | |||
00111 | 170.6 | 53 | 33 | |||
01000 | 50.93 | 16 | 9 | |||
01001 | 380 | 119 | 74 | |||
01010 | 4400 | 1382 | 858 | |||
01011 | 518 | 162 | 101 | |||
01100 | 752.2 | 236 | 146 | |||
01101 | 25.146 | 7 | 4 | |||
01110 | 101.9 | 32 | 19 | |||
01111 | 2121.8 | 666 | 414 | |||
10000 | 40.11 | 12 | 7 | |||
10001 | 218.5 | 68 | 42 | |||
10010 | 120.9 | 37 | 23 | |||
10011 | 660.4 | 207 | 128 | |||
10100 | 1385 | 435 | 270 | |||
10101 | 130 | 40 | 25 | |||
10110 | 60 | 18 | 11 | |||
10111 | 38 | 11 | 7 | |||
11000 | 320 | 100 | 62 | |||
11001 | 430 | 135 | 83 | |||
11010 | 500 | 157 | 97 | |||
11011 | 540 | 169 | 105 | |||
11100 | 1800 | 565 | 351 | |||
11101 | 2200 | 691 | 429 | |||
11110 | 4080 | 1281 | 796 | |||
11111 | 6600 | 2073 | 1288 | |||
特别说明: 1.在上电读取绑定值过程中,不能一直按住按键,如有按住会等待按键放开后才进入正常工作。
三、 Operation Function ( 功能说明 )
1.上电
上电LCD全显1秒,同时蜂鸣器会有长“BI”一声,在速度表下若S3=1则显示轮周1秒。然后进入正常显示模式。
2.按键功能:
共有5个按键,分别为:MODE键、UP/SET键、DOWN键、RESET键、PASUE键。
每次按下任意键会有“BI”声提示。每个键具体功能如下:
MODE键:
每短按一次模式键,切换一种模式,在扫描模式下按下MODE键退出到当前模式,切换顺序为:
次数表:
单行:TIME àCOUNTàCALà(ODO)à(RPM)à(PULSE)à回到扫描TIME
双行:上排:COUNT 下排:TIME àCALà(ODO)à(RPM)à(PULSE)à回到扫描TIME
速度表:
单行:TIMEàSPEEDàDISTàCALà(ODO)à(RPM)à(PULSE)à回到扫描TIME
双行:上排:SPEED 下排:TIMEàDISTàCALà(ODO)à(RPM)à(PULSE)à回到扫描TIME
按住MODE键2秒均可使除ODO以外各项显示归零,LCD全显示1秒,同时蜂鸣器长“BI”一声,在速度表下若S5=1,则显示轮周1秒,然后进入正常模式。
UP/SET键:
当切换到对应模式时,按UP键可以增加设置值。持续按2秒后会快加(1秒变化5次)。
运动模式(运动停止4秒前)下按UP/SET键无效。
DOWN键
当切换到对应模式时,按DOWN键可以减少设置值。持续按2秒后会快减(1秒变化5次)。
运动模式(运动停止4秒前)下按DOWN键无效。
RESET键
当切换到对应模式时,按RESET键可以清零当前值。
运动模式(运动停止4秒前)下短按RESET键无效。
按住RESET键2秒均可使除ODO,总次数以外各项显示归零,LCD全显示1秒,同时蜂鸣器长“BI”一声,在速度表下若S5=1,则显示轮周1秒,然后进入正常模式。
PAUSE键
短按,在暂停和正常模式间切换,在暂停模式时,画面闪烁。
模式 | 设置范围 | 设置单位 |
TIME | 0:00~99:00 | 1:00 |
DIST | 0.00~999.0 | 1.00 |
COUNT | 0~9990 | 10 |
CAL | 0.0~999.0 | 1.0 |
PULSE | 0~40~240~0 | 1 |
3. 时间(TIMER)
测量从开始运动至运动停止时所用的时间,单项溢出后归零。
当有信号进来后,开始计时。
在4秒内没有速度信号输入时,时间暂停,显示”STOP”。
设置运动时间,到预定时间时会有提示音提示。
设置范围:0:00~99:00。设定值为+1分且秒被清零,若设置有值后再有运动信号进入,则时钟开始倒计.当时钟倒计到0时, 该项闪烁并且蜂蜜器会有4声“BI-BI-BI-BI”的报警提示音,若此时还有运动信号进入,则时钟开始正计。
4. 速度(SPEED)
测量瞬时速度。测量范围0.0 ~999.9KM/H或者MILE/H。
如果在4秒钟内没有运动信号输入,速度显示为0.0。
5.转速(RPM)
测量瞬时转速。测量范围0 ~9999转/分钟。
如果在4秒钟内没有运动信号输入,RPM显示为0。
6. 距离/路程(DIST)
测量从开始运动至运动停止时所运动的距离,
测量范围:0.00~999.9KM(ML),单项溢出后归零;
距离可以通过轮周计算得到。
设置运动距离,若设置了距离值后再有运动信号进入系统,则距离值开始倒计,当距离值倒计到0时, 该项闪烁并且蜂鸣器会有4声的“BI-BI-BI-BI”提示音报警。若此时还有运动信号进入,则距离值开始正计。
设置范围:0.00 ~999.0KM(ML)
当距离值小于100KM(ML)时,显示两位小数。当距离值大于100KM(ML)时,显示一位小数。
7. 总距离/路程(ODO)
测量从开始运动至运动停止时所运动的总距离,
测量范围:0 .0~9999KM(ML),单项溢出后归零;
距离可以通过轮周计算得到。,按复位键不清零,直到断电后清零。
9.次数(CNT)
测量范围: 0 ~9999,单项溢出后归零。
单排LCD下设置的信号个数倒计到0, , 该项闪烁并且有“BI-BI-BI-BI”提示音报警。
单排LCD下设置范围:0 ~9990. 设定值为每次+10。
10. 总次数(TC)
测量从开始运动至运动停止时所运动的总次数,
测量范围:0 ~9999,单项溢出后归零;
按复位键不清零,直到断电后清零。
11. 卡路里/热量(CAL)
测量从开始运动至运动停止时所消耗的热量(即卡路里),
测量范围:0.0 ~999.9卡,单项溢出后归零。
设置消耗的卡路里,若设置了卡路里值后再有运动信号进入系统,则卡路里值开始倒计,当卡路里值倒计到0时,, 该项闪烁并且蜂鸣器会有4声的“BI-BI-BI-BI”提示音报警。若此时还有运动信号进入,则卡路里值开始正计。
设置范围:0.0 ~999.0卡
12. 心率(PULSE)
通过手握心率传感器,测量人的每分钟心跳次数,测量范围:40~240次/分钟。测量过程中收到心跳信号时,心跳符号会闪烁。
当收到心跳信号几秒钟后会显示你当前的心率。
无心率输入会显示P,心率初始值默认为72次/分。
13. 睡眠
4分钟内无运动信号及心率信号信号输入,无按键按下,IC进入SLEEP模式。进入睡眠模式后LCD显示关闭。
14. 唤醒
当有距离信号、模式切换信号、设置信号、复位信号输入时,系统开始工作, 当次距离信号、击键信号只作唤醒用,不作速度或模式切换用。
15. 声音提示
上电时会长“BI”一声(1S);
每次按键都会有“BI”声;长按不响。
当设置的时间,距离,卡路里归零之后,,会有4声”BI-BI-BI-BI”提示音,提示音未完有按键按下时提示音停止,当次按键只做提示音停止,不执行按键功能。
16. CAL计算方式
轮周大于100CM 每公里 15卡。
轮周小于等于100CM 每公里75卡。
备注:实际具体功能以实际样品为准。
四、 LCD Photo (LCD显示) 1/4Duty 1/3Bias 3.0V
1. 单排玻璃图
PIN | 1 | 2 | 3 | 4 | 5 | 6 | 7 | 8 | 9 | 10 | 11 | 12 | 13 | 14 | 15 | 16 |
SEG0 | SEG1 | SEG2 | SEG3 | SEG4 | SEG5 | SEG6 | SEG7 | SEG8 | SEG9 | SEG10 | SEG11 | |||||
COM0 | C0 | W1 | HEART | CAL | SCAN | 1F | 1A | 2F | 2A | 3F | 3A | 4F | 4A | |||
COM1 | C1 | W2 | PULSE | DIST | M | 1G | 1B | 2G | 2B | 3G | 3B | 4G | 4B | |||
COM2 | C2 | W3 | ODO | SPD | K | 1E | 1C | 2E | 2C | 3E | 3C | 4E | 4C | |||
COM3 | C3 | STOP | TIME | RPM | P1 | 1D | P3 | 2D | P2 | 3D | P4 | 4D |

2.双排玻璃图


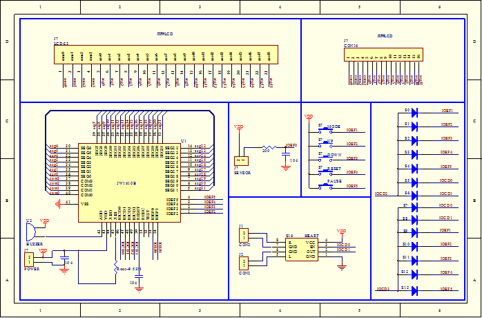
五、 Application Circuit ( 应用线路图 )

注﹕副频选择ROSC ,则Rosc—9.53M电阻宜选用阻值约9.53M高精度1%(具体值为掩模IC出货后验证确认),位置需尽量靠近IC.
六. Electrical Specification(电气特性)

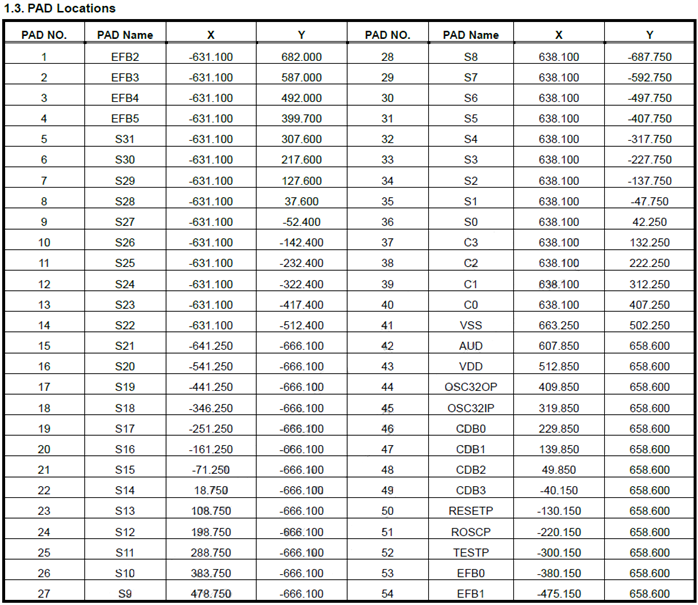
七. PAD Assignment ( 绑定脚位图 )


联系人:汪先生
手 机:13818541390
座 机:0512-36874515
网 址:www.ksxxdz.com
地 址:江苏省昆山市花桥镇花安路169号中寰广场写字楼935室